A mágica dos juros compostos

O maior aliado dos investidores é o tempo. Aprenda como usar o tempo ao seu favor e melhore o desempenho dos seus investimentos.

A magia dos juros compostos

Um conceito importante sobre investimentos é que “o dinheiro deve trabalhar para você”.

Isso quer dizer em outras palavras que um investimento precisa gerar retornos na forma de juros, dividendos ou valorização. Esse conceito está diretamente relacionado à uma variável importante nos investimentos, o tempo!

O tempo é essencial para os investimentos, sendo provavelmente o fator mais importante para a geração de riqueza no longo prazo. Isso ocorre devido aos juros compostos. Os juros compostos têm o poder de fazer o investimento se valorizar exponencialmente ao longo do tempo, desde que os juros sejam reinvestidos.

Os juros compostos funcionam assim: quando você ganha juros em um período, esses juros são adicionados ao seu capital investindo inicialmente para formar um novo valor (chamado de montante). Então, no próximo período, os juros são calculados com base nesse novo valor (que agora inclui os juros do período anterior). E isso acontece repetidamente a cada período.

Então se o seu dinheiro for investido, e se não houver retirada, os juros vão se sobrepondo consecutivamente mês a mês. Essa sobreposição de “juros sobre juros” é conhecida como “juros compostos”. E é justamente nesse momento que “a mágica acontece”.

Mobirise Website Builder

É como se fosse uma 'bola de neve', que começa pequena e vai tomando volume ao longo do tempo. E é nisso que ele se diferencia dos juros simples, os os juros incidem apenas sobre o capital inicial investido, o que resulta em um crescimento linear.

Esse é um conceito financeiro poderoso que pode transformar a maneira como você economiza e investe dinheiro. Os juros compostos são como a mágica, onde o seu dinheiro trabalha para você e cresce exponencialmente ao longo do tempo.

Vamos dar um exemplo prático: Imagine que você invista R$ 1.000 com uma taxa de juros anual de 10%. No final do primeiro ano, você terá R$ 1.100.

Mas, no segundo ano, você não receberá apenas R$ 100 (10% de R$ 1.000) de juros. Você receberá 10% de R$ 1.100, o que equivale a R$ 110,00. E isso vai crescendo a cada ano.

Warren Buffett entendeu o poder dos “juros sobre juros” muito cedo e isso fez dele o maior investidor do mundo, sendo considerado em 2023 a quinta pessoa mais rica do planeta pela Forbes.

Para os investimentos de longo prazo, quanto maior o tempo que o dinheiro fica sob o efeito dos juros compostos, maior a geração de riqueza. Isso é tão significativo que é muito comum ouvir de investidores que “o maior arrependimento foi não ter começado a investir mais cedo”.

Então, quanto mais cedo você começar a investir, maiores serão suas chances de geração de riqueza no futuro. Mas lembre-se que no curto prazo vai parecer que você não está ganhando nada, pois tanto o montante quanto o capital investido podem ser pequenos. Então você precisa estar preparado psicologicamente para um crescimento lento no início.

Lembre-se que nos juros compostos o crescimento é exponencial e pode levar algum tempo para perceber esse crescimento. Por isso o maior desafio vai ser conseguir se manter firme na estratégia e confiar nos resultados no longo prazo.


Os juros compostos são a oitava maravilha do mundo. Aquele que entende, ganha. Aquele que não entende, paga.” (autor desconhecido)

Quais os componentes dos juros compostos?

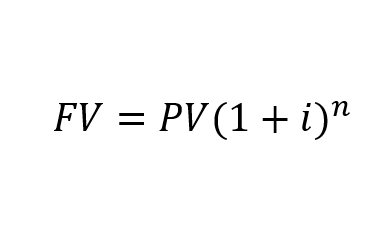
A fórmula dos juros compostos é uma maneira de calcular o valor futuro de um investimento levando em consideração não apenas o principal investido (o capital inicial), mas também os juros que são reinvestidos ao longo do tempo.

A ideia aqui não é dificultar a questão mas, de maneira simplificada, fazê-lo entender que a riqueza que você vai ter no futuro (FV) depende de três fatores: o valor que você investe hoje, chamado de valor presente (PV), a taxa de juros que seu dinheiro está aplicado (i) e o tempo que esse dinheiro fica investido (n).

Apenas como ilustração a fórmula para o cálculo do valor futuro é apresentada a seguir.

Mobirise

Na fórmula dos juros compostos, o tempo é o componente exponencial. Isso significa que quanto maior o tempo seu dinheiro for aplicado nestas condições, maiores serão os seus ganhos

Essa fórmula é uma ferramenta poderosa para calcular quanto seu investimento crescerá ao longo do tempo, levando em consideração o efeito dos juros compostos.

Ela é amplamente utilizada em finanças e investimentos para determinar o potencial de crescimento de diferentes investimentos ao longo do tempo. 

O interessante dessa fórmula é que ela mostra como a gente pode acelerar a geração de riqueza futura (o FV da fórmula). Isso pode ser feito de diversas formas, tanto pelos componentes da fórmula quanto pela adoção de outras estratégias complementares. 

Juntas elas têm o potencial de acelerar o resultado dos investimentos e fazer você atingir seus objetivos mais rápido.

Como melhorar o desempenho dos investimentos?

Existem duas maneiras de melhorar o desempenho dos investimentos no longo prazo, que envolvem tanto a fórmula dos juros compostos quanto outras medidas complementares.

A primeira maneira de melhorar a geração de riqueza futura (o FV da fórmula) é buscando melhores desempenhos em cada componente isolado, o valor inicial investido (PV), a taxa de juros (i) e o prazo (n).

  1. Aumentar o valor inicial (PV) investido - Quando aumentamos o valor inicial investido, o valor acumulado no futuro (FV) também aumenta com o tempo. Porém isso nem sempre é fácil, pois nem todo mundo possui grandes recursos disponíveis para investir, ainda mais quando jovens. Duas maneiras de aumentar o valor inicial investido é evitando gastos desnecessários e poupando melhor os recursos para poder investir.
  2. Conseguir uma taxa de retorno (i) maior - Quanto maior a taxa de retorno, maior a geração de riqueza futura (FV). Geralmente investir em ativos que com maiores taxas de retorno implica em correr maiores riscos e por isso também não é tão simples. Uma das maneiras de conseguir isso é por meio de técnicas de diversificação, que se feitas da maneira correta permitem um aumento do retorno dos investimentos com redução dos riscos.
  3. Aumentar o prazo (n) dos investimentos - Quanto maior o tempo seu dinheiro ficar investido, maiores os retornos obtidos no futuro. Esta medida é a mais fácil de ser realizada porque só depende de você, de quando você começa a investir. E além disso o prazo é o componente exponencial da fórmula, que tem o maior poder de gerar riqueza no longo prazo. Então começar cedo é essencial para os investimentos.

Além de trabalhar os componentes da fórmula ainda existem outras alternativas complementares para conseguir melhorar a geração de riqueza futura. Essas medidas envolvem inserir recursos extras periodicamente no investimento, que podem ser feitos basicamente de duas formas.

  1. Reinvestimento de Dividendos - Segundo a Lei das SAs, empresas que geram lucro devem pagar um percentual do lucro líquido ajustado aos seus acionistas na forma dividendos. Quando você investe em empresas que pagam dividendos, esse recurso pode ser reinvestido fazendo com que os juros compostos incidam sobre um montante maior, acelerando a geração de riqueza futura. 
  2. Aportes periódicos - Os aportes periódicos são contribuições regulares que você faz em seus investimentos, sempre que puder. Eles podem ocorrer em intervalos predefinidos (mensalmente, trimestralmente, anualmente) ou eventualmente sempre que surgir algum recurso financeiro inesperado. Eles são importantes porque podem aumentar o montante total investido. As principais fontes desses recursos são reservas retiradas do salário, de premiações ou bônus, recursos da venda de ativos que não têm mais uso ou de fontes de renda extra.

Como você pode perceber, são estratégias que podem ser implementadas, cada uma no seu tempo ou de acordo com as condições de cada investidor. Mas uma delas pode ser implementada por qualquer um e é justamente é que tem o componente exponencial, o tempo. Quanto antes a gente começar a investir, melhor!

Depois de entender isso, resta apenas uma pergunta: Por que as pessoas demoram tanto tempo para começar a investir?

Isso não é difícil de explicar. O problema começa por não conseguirmos poupar ou gastar nosso dinheiro adequadamente e por isso não sobra dinheiro para investimento. Além disso, a grande maioria das pessoas não sabe por onde começar, não sabe como investir corretamente ou simplesmente não conhece o valor do dinheiro no tempo sob o efeito dos juros compostos.

Infelizmente damos valor para a Educação Financeira apenas quando estamos adultos, por necessidade. E, em parte não é nossa culpa. A Educação Financeira não faz parte do currículo escolar e não é habitualmente ensinada em casa. Mas isso não pode ser mais desculpas, afinal agora você já sabe!

Ainda dá tempo de fazer o dinheiro trabalhar para você. Poupe, gaste melhor, aprenda a investir, use o tempo ao seu favor e faça bons investimentos!



© Copyright 2023 Prime Investing. All Rights Reserved.

Drag and Drop Website Builder